Z Fold 5 - Eigene Erfahrungen und Tests zum Akku und der Display-on-Zeit

  • 38 Antworten
  • Letztes Antwortdatum
@bbfh Ich verbrauche aber ähnlich Nachts mit dem Fold5 bei Energiesparen und Bitte nicht stören aktiv.
 
  • Danke
Reaktionen: Luca77
Bei meinem Fold5 sind es 3-4% im Flugmodus für ca. 8h
 
  • Danke
Reaktionen: bbfh und Luca77
Sind eure Akkulaufzeiten besser oder schlechter geworden mit dem letzten großen Update?
 
@RichtigerLurch Ich konnte jetzt weder eine Besserung noch eine Verschlechterung wahrnehmen
 
  • Danke
Reaktionen: simonwest und RichtigerLurch
Auch bei mir hat sich die Laufzeit weder verbessert noch verschlechtert, ich bin weiterhin mehr als zufrieden mit der Laufzeit.
 
  • Danke
Reaktionen: simonwest, RichtigerLurch und DerMicha
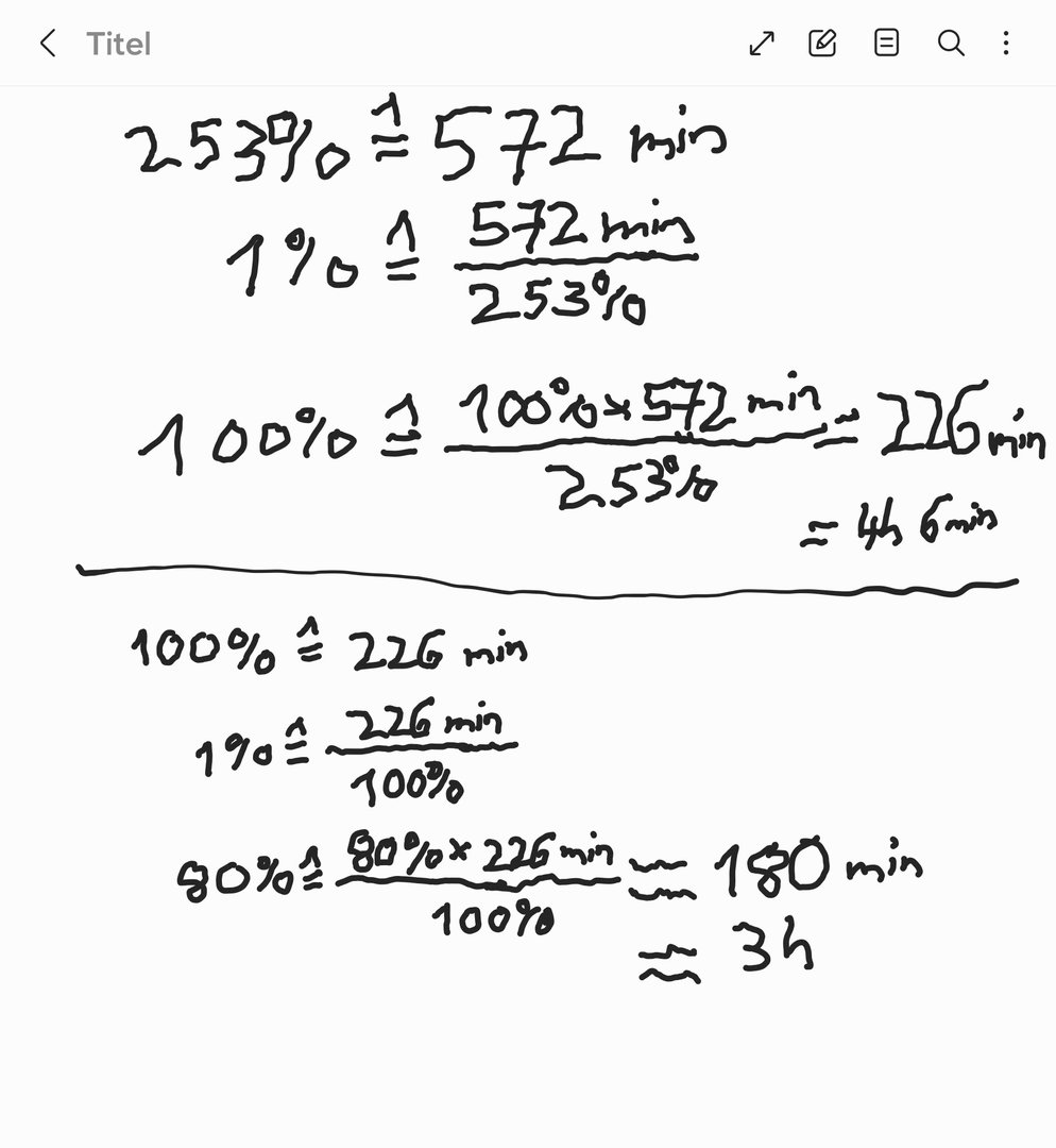
Überlege gerade, ob man so die gesamt DoT hochgerechnet bekommt🤔 Da ich immer bei ca. 20% lade, hab ich die Zeit pro Lauf darauf berechnet.

Screenshot_20240116_125526_Device care.jpg

Screenshot_20240116_130409_Samsung Notes.jpg
 
Zuletzt bearbeitet:
Mathematisch passt das. Aber passen die drei Stunden auch zu deinem Nutzungserlebnis? Ich hatte bisher bei meinen Handys das Gefühl, das man die Nutzungszeit pro Prozentpunkt nicht linear rechnen kann.
 
  • Danke
Reaktionen: MvBoe und DerMicha
@bbfh Das versuche ich aktuell herauszufinden😅 Komme im Alltäglichen Gebrauch und an Tagen die ich kein Mobile Game nutze laut Berechnung auf um die 7h DoT (hauptsächlich im WLAN unterwegs). Meine Frau beim Flip5 auf ungefähr 3-4h (mit geteiltem Hotspot).
Was ja so erst einmal passen würde.
Schaue ich viel Videos, bzw. Spiele ein Mobile Game kommen laut Berechnung bei mir auch eher Laufzeiten von um die 2-3h DoT laut Berechnung zum Vorschein.

Das sind aber bei mir zumindest Szenarien die nicht Alltäglich sind.
Werde jetzt die Tage mal rein mit Mobilen Daten unterwegs sein und schauen was dann die Berechnung hergibt.
 
Beim Cloud-Gaming mit Microsoft GamePassUltimate habe ich bis zu 7 h DOT. Die Berechnungen laufen dabei ja auf den Servern von Microsoft und das Fold5 dient "nur" als Bildschirm bzw. leitet die Controler-Eingaben weiter. Es wird auch nicht nennenswert warm.
 
  • Danke
Reaktionen: DerMicha
Ich hatte schon bei meinem s23u nie die in Aussicht gestellten Laufzeiten. Bei meinen neuen Fold 5 bin ich aber meilenweit entfernt. Abkuprognose kam heute erstmals nach dem Einrichten am Samstag. Und ich war geschockt... kann es am Backup des s23u liegen, habe das z fold 5 nämlich nicht neu eingerichtet...
 

Anhänge

  • Screenshot_20240228_180145_Device care.jpg
    Screenshot_20240228_180145_Device care.jpg
    261,5 KB · Aufrufe: 121
  • Screenshot_20240228_180155_Device care.jpg
    Screenshot_20240228_180155_Device care.jpg
    285,9 KB · Aufrufe: 115
Es dauert einige Tage, bis sich der Akkuverbrauch eingependelt hat.
 
  • Danke
Reaktionen: morgenmicha
@morgenmicha Vergiss alle Vorhersagen, nutz das Ding und sieh am Abend, wo du gelandet bist. Ich hab ein vollständiges Nutzungsprofil außer Games, das Ding ersetzt komplett meinen Laptop inklusive Fernwartung. Ich nutze 2 SIM mit 5G, eine permanent gekoppelte Smartwatch und hab nirgends etwas gedrosselt oder reduziert außer die Akkuschonung aktiv, heißt also ich lade nur bis 80% und komme trotzdem locker über den Tag ohne mir Sorgen machen zu müssen.
 
  • Danke
Reaktionen: MvBoe und morgenmicha
@Ghost ist wahrscheinlich am Ende besser 😄 Danke für den Tipp
 
  • Danke
Reaktionen: 581615
@Ghost
Wobei die Einstellung für die "Akkuschonung" allerdings 85 % sind ... :)
 
  • Danke
Reaktionen: 581615
@onlinfuchs Noch, mit 6.1 sollen es dann ja nur noch 80% sein. Meines Wissens nach
 
  • Danke
Reaktionen: onlinfuchs und 581615
onlinfuchs schrieb:
@Ghost
Wobei die Einstellung für die "Akkuschonung" allerdings 85 % sind ... :)
stimmt, hab ich mit Apple verwechselt
 
@DerMicha Okay, da bin ich mal gespannt, finde die 80er Grenze auch besser, da akkuschonender.
 
  • Danke
Reaktionen: DerMicha
Also ich bin äußerst zufrieden, ich hatte wegen des großen Displays meine Bedenken, aber die Akkulaufzeit ist echt super. Etwa 8 Stunden Display on time, und noch gut 10% Restakku.
 

Anhänge

  • Screenshot_20240310_232517_Device care.jpg
    Screenshot_20240310_232517_Device care.jpg
    132,3 KB · Aufrufe: 82
  • Danke
  • Wow
Reaktionen: MvBoe, Matchbox und RichtigerLurch
Wow. Davon bin ich aktuell weit entfernt. Maximum 4 bis 5 Stunden SoT. Und da nur normale Tasks, kein Gaming. Nutze ich die Kamera viel, sind es eher 3 Stunden.
 
Zurück
Oben Unten